Mobile Navigation

Chemical Engineering

View Comments PDF

Design of Bulk-Solids Moving-Bed Heat Exchangers

| By Greg Mehos, consultant

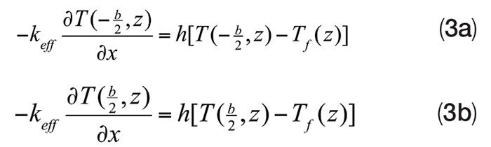
Presented here are equations governing heat transfer in a moving-bed heat exchanger, along with a numerical method for solving them Moving-bed heat exchangers (MBHE) represent an efficient method for heating or cooling bulk-solid materials compared to…