Mobile Navigation

Chemical Engineering

View Comments PDF

Modern Fermentation and Fermenter Design

| By Wolfgang Keller, Klaus Gezork, Bernd Nienhaus and Niclas Popp

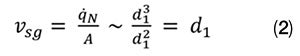
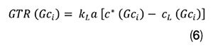
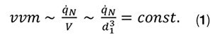
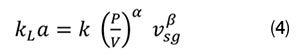
With the growth of ‘white biotechnology,’ industrial fermentation processes and large-scale fermenters will play a key role. Presented here are some design considerations In fermentation, microorganisms, animal and plant cells are used to…