Cellulose-to-aromatics process simplifies BTX production A single-step method to convert cellulosic biomass into aromatic compounds offers a simpler and more…
Biobased succinic acid pilot effort underway Pilot-scale production of biobased succinic acid from dextrose has been demonstrated by Myriant Technologies (Quincy,…
Green honors In June, the U.S. Environmental Protection Agancy (EPA; Washington, D.C.; www.epa.gov) announced the winners of…
Making SunCatchers instead of cars Stirling Energy Systems (SES; Phoenix, Ariz.; www.stirlingenergy.com) and Tessera Solar (Houston; www.tesserasolar.com) recently unveiled four,…
Capacity to double for an oil-shale process Outotec GmbH (Oberursel, Germany), a 100% daughter company of Outotec Oy (Helsinki, Finland; www.outotec.com) has…
An alternative to chlor-alkali Earlier this year, NSR Technologies (Decatur, Ill.; www.nsr-tech.com) commercialized its patented process for producing potassium…
A replacement for Cr+6 Aculon, Inc. (San Diego, Calif.; www.aculon.com) has developed a formulation of its proprietary SAMP technology…
Chementator briefs for August Bioplastics DSM Engineering Plastics (Sittard, Netherlands; www.dsm.com) has introduced EcoPaXX, a biobased, high-performance engineering plastic…
A silver-based antimicrobial Pure Bioscience (El Cajon, Calif.; www.purebio.com) has developed silver dihydrogen citrate (SDC), the first antimicrobial…
Scaleup for a downer FCC process In October, Nippon Oil Corp. (Tokyo, Japan;www.eneos.co.jp) will start constructing a high-severity fluidized-catalytic cracking (HS-FCC)…
Diamond lubricant cuts friction and increases equipment life The lifetime of steel bearings can be extended by up to eight times by a…
Making fine particles of inhalable drugs A team from the School of Chemical Sciences and Engineering, at the University of New…
KBR awarded contract for refinery in Angola 0 0 0 KBR (Houston, Tex.; www.kbr.com) has been awarded a contract by Sonangol, E.P.…
IMD acquires a new source for Omega-3 FAs 0 0 0 InterMed Discovery GmbH (IMD; Dortmund, Germany; www.intermed-discovery.com), has acquired of unique microbial…
Lummus Technology wins cracker-heater contract Lummus Technology, a CB&I company (The Woodlands, Tex.; www.cbi.com) has been awarded a contract valued…
GEA wins major pharmaceutical order from China 0 0 0 GEA Group AG (Bochum, Germany; ) has won a milestone order from…
Univation to build catalyst manufacturing facility in China Univation Technologies, LLC (Houston, Tex.; www.univation.com) has begun construction of a new polyethylene (PE) catalyst-manufacturing…
Remmers’ paint to coat sea-link bridge Remmers Baustofftechnik GmbH (Löningen, Germany; www.remmers.de) was awarded the contract to supply coatings for the…
Series production of organic nanoparticles Lanxess AG (Leverkusen, Germany; www.lanxess.com) has developed a polymer additive for plastics and rubber that…
Ansys software improves cement making Ansys, Inc. (Southpointe, Pa.; www.ansys.com) today announced that its software is helping aixprocess, a German…
Technip to ‘Connect’ German refineries Technip (Paris, France; www.technip.com) has been awarded an engineering, procurement and construction management contract by…
KBR awarded FEED contract by VCNG KBR (Houston, Tex.; www.kbr.com) has been awarded a contract by Verkhnechonskneftegas (VCNG) to provide front-end…
Oxea acquires production plant in the Netherlands Oxea GmbH (Oberhausen, Germany; www.oxea-chemicals.com) has completed the acquisition of assets of the Amsterdam Esters…
Dow plans to shut down its ethylene oxide and glycol plant in the U.K...and more Dow plans to shut down its ethylene oxide and glycol plant in the U.K... July…
Keeping Cooling Water Clean Cooling water systems that rely on cooling towers are a critical component at chemical process…
REACH: Looking Beyond Pre-registration Failure to register under REACH closes EU markets for thousands of chemical substances manufactured or…
Viscosity: The Basics Most engineers know what viscosity is, but may have trouble explaining it. To be brief,…
Fine Grinding With Impact Mills Many branches of the chemical process industries (CPI) make use of impact comminution to process…
Keeping Cooling Water Clean Cooling water systems that rely on cooling towers are a critical component at chemical process…
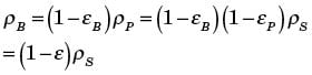
Facts at Your Fingertips Adsorption Successful adsorber design requires information about certain adsorbent properties, including: adsorbent densities and void fractions;…